Anzahl Durchsuchen:0 Autor:Site Editor veröffentlichen Zeit: 2024-08-09 Herkunft:Powered
Das optimale Design von Kühlkörpern, insbesondere für Geräte mit hoher thermischer Belastung wie MOSFETs und IGBTs, ist entscheidend für den effizienten Betrieb dieser Geräte und zur Vermeidung vorzeitiger Komponentenausfälle.Dies erfordert eine Kombination aus Lüftern und Kühlkörpern, um leistungsstarke Geräte, die große Wärmemengen abführen, ausreichend zu kühlen.
Wenxuan Thermal Energy verfügt über professionelle Anpassungsfähigkeiten und diversifizierte Anwendungsmärkte und kann anpassen Kühlprodukte für verschiedene Systeme für Kunden.
Wie in Abbildung 1 dargestellt, wird häufig eine Abdeckung oder ein Kanal verwendet, um den Luftstrom des Lüfters in den Kühler zu leiten und so einen Luftstrom um den Kühler herum zu verhindern, wodurch die effektive Kühlleistung des Lüfters verringert wird Kühlkörper Kombination.
Abbildung 1: Kühlkörper- und Lüfterdesign ohne Bypass
Der optimale Kühlkörperabstand und der daraus resultierende Wärmewiderstand für die in Abbildung 1 gezeigte Lüfter-/Kühlerkombination können mithilfe einiger Formeln direkt berechnet werden, um schnell die erforderliche Kühlkörpergröße abzuschätzen.
Es ist jedoch nicht möglich, den Lamellenabstand eines Kühlkörpers unter der Annahme einer konstanten Durchflussrate oder Volumenstromrate zu optimieren.Die Luftströmungsgeschwindigkeit zwischen den Lamellen wird durch den Lamellenabstand und ihre Anzahl anhand von Gleichung 1 bestimmt. Diese Formel besagt, dass der Luftvolumenstrom, der sich dem Kühler nähert, derselbe ist wie der Luftvolumenstrom, der durch den Kühler strömt, da es keinen Bypassstrom um ihn herum gibt Kühler.
Abbildung 2: Abmessungen der Luftkühlrippen

Vf:Luftgeschwindigkeit zwischen den Flossen
V:Volumenstrom in den Kühler
Hf=Hb:Flossenhöhe
S: Abstand zwischen den Rippen
Nf:Anzahl der Flossen
Je kleiner der Lamellenabstand ist s, desto höher ist die Luftgeschwindigkeit Vf zwischen den Flossen.Je höher der Luftdurchsatz ist, desto besser ist die Kühlwirkung des Kühlkörpers.Wenn Sie die Größe des Kühlkörpers optimieren möchten, sollte der Abstand zwischen den Lamellen einen kleinen Wert haben, da der Luftdurchsatz mit abnehmendem Lamellenabstand zunimmt und auch die Kühlwirkung zunimmt.In praktischen Anwendungen wird der Luftstrom durch Ventilatoren oder Gebläse bereitgestellt.Die Durchflussrate ist nicht konstant und wird durch den Anstieg des Druckabfalls des Kühlkörpers mit zunehmendem Kühlkörperabstand begrenzt s nimmt ab.
Um die Analyse zu vereinfachen und erhebliche Berechnungsfehler zu vermeiden, gehen wir von folgenden Annahmen aus:
A.Die Fläche, die sich aus der Rippendicke ergibt t und Basisdicke b ist viel kleiner als die Gesamtoberfläche des Kühlkörpers.
B.Die Wärmequelle hat die gleiche Länge und Breite wie der Kühlkörper und befindet sich in der Mitte des Kühlkörpersockels.
C.Die Wärmequelle und die Basis des Kühlkörpers stehen in vollem Kontakt mit dem Lüfter oder Gebläse.
D.Der gesamte Luftstrom strömt durch den Kühler.
e.Im Vergleich zur Konvektion ist die Strahlungswärmeübertragung gering und kann vernachlässigt werden.
F.Der Luftstrom durch den Kühler ist laminar und gleichmäßig.Die Dicke des Kühlkörpers ist im Vergleich zum Abstand gering s zwischen den Kühlkörpern.
Angenommen, der laminare Luftstrom durch den Kühler funktioniert für die meisten kommerziellen Kühler-Lüfter-Kombinationen.In der Elektronik spielt das Lüftergeräusch eine wichtige Rolle. Daher wird die Lüftergeschwindigkeit absichtlich reduziert, um erhebliche Geräusche beim Übergang von laminarer zu turbulenter Strömung zu vermeiden.
Der erste Schritt beim Entwurf eines Kühlkörpers besteht darin, den Betriebspunkt der Kombination aus Lüfter und Kühlkörper zu bestimmen.Wenn ein Lüfter oder Gebläse mit einem Kühler verwendet wird, hängt die Leistung des Lüfters von der Konstruktion des Kühlers ab.
Wie in Abbildung 3 dargestellt, weist jeder Lüfter eine einzigartige Druck-/Strömungskurve auf, bei der die Durchflussrate umgekehrt proportional zum Druckabfall am Lüfter ist.Kühler haben auch eine Druck-/Strömungskurve, die proportional zum Druckabfall am Kühler ist, wie in Abbildung 3 dargestellt. Der Durchfluss durch die Lüfter-/Kühlerkombination ist der Schnittpunkt der Druck-/Strömungskurven von Lüfter und Kühler.

Abbildung 3: Kurven des Lüfter- und Kühlerdrucks im Verhältnis zum Durchfluss
Lüfterkurven werden im Allgemeinen vom Lüfterhersteller bereitgestellt und sind normalerweise äußerst nichtlinear.In vielen Fällen sind die einzigen von ihnen bereitgestellten Ventilatorleistungsdaten der maximale Durchfluss und der maximale Druckabfall.Um Durchflussberechnungen zu vereinfachen und Situationen zu berücksichtigen, in denen nur maximaler Durchfluss und maximaler Druckabfall bereitgestellt werden, kann eine einfache lineare Näherung der Lüfterkurve in Gleichung 2 ausgedrückt werden. In den meisten Fällen liefert diese lineare Näherung der Lüfterkurve eine vernünftige Schätzung der Lüfterleistungskurve.
ΔPmax:Maximaler Lüfterdruckabfall
Vmax:maximaler Volumenstrom des Ventilators
Bei mehreren nebeneinander (parallel) eingesetzten Ventilatoren beträgt die maximale Förderleistung Vmax des Lüfters ist die maximale Durchflussrate eines Lüfters multipliziert mit der Anzahl der Lüfter.
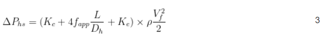
Der Spannungsabfall am Kühlkörper ist in Gleichung 3 dargestellt:
Die Luftdichte ρ wird aus der Umgebungslufttemperatur berechnet.
Der hydraulische Durchmesser Dh des Kanals zwischen den Rippen kann angenähert werden als 2s.Die Variablen Kc Und Ke sind die Druckverlustkoeffizienten aufgrund der Kontraktion bzw. Expansion des in den Kühler eintretenden bzw. austretenden Luftstroms.Die Formeln für diese Druckverlustkoeffizienten sind eine Funktion der Stirnfläche σ=s/(s + t) und basieren auf dem Diagramm in Referenz 1.
Der scheinbare Reibungskoeffizient fapp basiert auf dem in Referenz [2] entwickelten Modell:

, ist die Reynolds-Zahl, wobei ν ist die kinematische Viskosität.
Der Der Term in Gleichung 6 berücksichtigt den Reibungskoeffizienten, der sich aus der voll entwickelten Strömung zwischen den Kühlerlamellen ergibt.Eine voll entwickelte Strömung findet in sehr langen Kanälen oder in langsamen Strömungen statt, bei denen das Strömungsgeschwindigkeitsprofil konstant bleibt.

Um den Betriebspunkt des Lüfters/Kühlers zu bestimmen (dh den Schnittpunkt der Druck-/Strömungskurven von Lüfter und Kühler), werden Gleichung 2 und Gleichung 3 angeglichen und die unbekannte Variable verwendet festgestellt wird.

Berechnen Sie den Lamellenabstand Sopt das sorgt für eine maximale Wärmeübertragung unter Verwendung von Gleichung 9, wobei μ Und α sind die Viskosität bzw. die Temperaturleitfähigkeit von Luft.Diese Formel wurde von Bejan et al. vorgeschlagen.in Ref.3.
Der optimale Lamellenabstand Sopt ist eine Funktion des Ventilatordruckabfalls ΔPLüfter und Druckabfall im Kühlkörper ΔPhs.Der Druck des gesamten Systems bestimmt das Durchflussbild durch den Kühler, und dieser Durchfluss beeinflusst die Wärmeübertragungsrate des Kühlers.
Ersetzen Sie Gleichung 9 für den Lamellenabstand s in Gleichung 8 und bestimmen Sie das Strömungsbild des Systems durch Lösen der resultierenden Gleichung.
Bitte nBeachten Sie, dass Gleichung 8 zwar löst ΔPLüfter Und ΔPhs gleich, nur Gleichung 2 ΔPLüfter sollte bei der Lösung für den Fluss in Gleichung 9 verwendet werden. ΔPhs in Gleichung 3 hängt vom Rippenabstand ab s, also mit ΔPhs in Gleichung 9 nach der Durchflussrate aufzulösen, ist mathematisch schwierig.
4.Berechnen Sie den Wärmewiderstand des Kühlkörpers
Aus der Lösung von Gleichung 8 kennen wir das Strömungsbild und die Strömungsgeschwindigkeit Vf durch den Kühlkörper, und wir können die Wärmeübertragungsrate und den thermischen Widerstand des Kühlkörpers bestimmen.
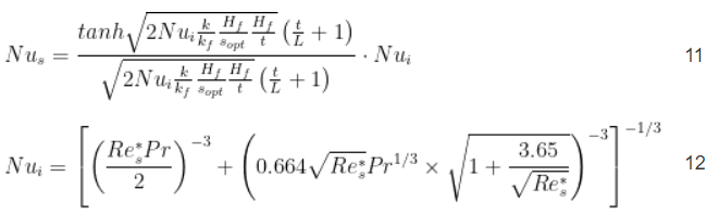
Berechnen Sie den durchschnittlichen Wärmeübertragungskoeffizienten hf des Kühlkörpers mithilfe der Gleichungen 10, 11, 12, 13 und 14 in Referenz 4.
Wo k ist die Wärmeleitfähigkeit von Luft.

Pr ist die Prandtl-Luftzahl. Über den typischen Betriebstemperaturbereich von Kühlkörpern zur elektronischen Kühlung kann ein Wert von 0,71 verwendet werden.

Daher der Gesamtwärmewiderstand Rhs des Kühlkörpers beträgt:

Die benetzte Oberfläche eines Heizkörpers, Ahsist die Fläche, die mit der durch den Kühler strömenden Luft in Kontakt kommt.
Der erste Term in Gleichung 15 ist der Wärmewiderstand des Kühlkörpers und der Term nach dem Pluszeichen ist der Wärmewiderstand an der Basis des Kühlkörpers.
Für Abwechslung Kühlkörpers, Wenxuan Thermal Energy verfügt über professionelle Anpassungsfähigkeiten und diversifizierte Anwendungsmärkte und kann anpassen Kühlprodukte für unterschiedliche Systeme bei Kunden. In der Zwischenzeit, wir werden nehmen viele Faktoren berücksichtigen bei der Gestaltung des Kühlers berücksichtigen und das Design des Kühlers weiter optimieren und verbessern.Wenn Sie weitere Fragen dazu haben Temperatur fällt oder eine für Ihr Unternehmen geeignete Kühllösung benötigen, hinterlassen Sie bitte einen Kommentar oder kontaktieren Sie Wenxuan per E-Mail.